Minimum wage in Sudan is €0, 74 per month, which has led me to research about local prices of different products and services to know the situation of Sudanese workers.
I did some calculations using the minimum wage of my country, Spain, about 1160 €/month, to try to draw a hypothetical reality as accurately as possible.
https://media.tenor.com/zF6iF6aYxK0AAAAM/math-calculating.gif
Below we can see the equivalences, understanding the price I would have to pay for products and services in case my country would go through the same situation.
- Bedroom apartment = 9,02 €/month
Equivalence: 14139,46 €/month
https://m.stacker.news/10164
- Internet: $3.10 per month
Equivalence: 4859,46 €
https://m.stacker.news/10169
- One pair of leather shoes = 1, 21 €
Equivalence: 1896,76 €
https://m.stacker.news/10168
- 12 eggs = 0, 04 €
Equivalence: 62,70 €
https://m.stacker.news/10167
- Cheese (1kg) = 0,14 € 0,14
Equivalence: 219,46 €
https://m.stacker.news/10166
- Potatoes, 1 kg = 0,03 € 0,03
Equivalence: 47,03 €
https://m.stacker.news/10165
- Pack of cigarettes = 0,05 € 0,05
Equivalence: 78,38 €
https://m.stacker.news/10171
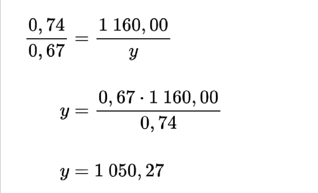
- Monthly fare for public transport = 0,67
Equivalence: 1050,27 €
https://m.stacker.news/10170
If you know of any bitcoin projects in Sudan or other similar African countries, it would be great if you could let us know, I think it's in these kinds of places that are worth getting involved in.
Thanks for reading, sat
https://m.stacker.news/10172