sign up
sign up
sign up
sign up
pull down to refresh
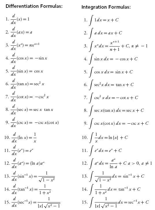
Basic Calculus cheat sheet ✍️
110 sats
\
0 comments
\
@ScienceExplorist
27 Dec 2023
science
https://m.stacker.news/9699
write
preview
fractions of a penny for your thoughts?
reply
10 sats
related posts
view all related items